MENU

【電験三種】平成15年度(2003)電力|問題と回答

電験三種:平成15年度(2003) 電力科目の過去問題をまとめました。

実際の出題問題とは一部表記が違う箇所もあるかもしれませんが、ご了承ください。

目次

問1:水力発電

水力発電所において,運転中に水車に流入している水を水車入口弁によって急に遮断すると,流水のもつ(ア)エネルギーのために水圧管路内に高い圧力が発生する。この圧力は水圧管路上部の開放端と下部の閉鎖端との間で反復伝搬する。この現象を水撃作用という。この作用は流速変化が(イ)なほど,また,水圧管路が(ウ)ほど大きくなる。この作用を軽減するため,水圧管路に(エ)が一般に設けられる。

上記の記述中の空白箇所(ア),(イ),(ウ)及び(エ)に記入する語句として,正しいものを組み合わせたのは次のうちどれか。

(ア) (イ) (ウ) (エ)
(1) 運動 急激 長い サージタンク
(2) 位置 急激 短い ヘッドタンク
(3) 運動 緩やか 長い ヘッドタンク
(4) 位置 緩やか 長い サージタンク
(5) 運動 急激 短い ヘッドタンク

回答

(1)

問2:汽力発電

蒸気の使用状態による蒸気タービンの分類に関する記述として,誤っているのは次のうちどれか。

(1) 復水タービン:タービンの排気を復水器で復水させて高真空を得ることにより,蒸気をタービン内で十分低圧まで膨張させるタービン。

(2) 背圧タービン:タービンで仕事をさせた後の排気を,工場用蒸気その他に利用するタービン。

(3) 抽気タービン:タービンの中間から膨張途中の蒸気を取り出し,工場用蒸気その他に利用するタービン。

(4) 再生タービン:タービンの中間から一部膨張した蒸気を取り出し,再加熱してタービンの低圧段に戻し,さらに仕事をさせるタービン。

(5) 混圧タービン:異なった圧力の蒸気を同一タービンに入れて仕事をさせるタービン。

回答

(4)

問3:汽力発電

火力発電所において,ボイラから煙道に出ていく燃焼ガスの余熱を回収するために,煙道に多数の管を配置し,これにボイラへの(ア)を通過させて加熱する装置が(イ)である。同じく煙道に出ていく燃焼ガスの余熱をボイラへの(ウ)空気に回収する装置が,(エ)である。

上記の記述中の空白箇所(ア),(イ),(ウ)及び(エ)に記入する語句として,正しいものを組み合わせたのは次のうちどれか。

(ア) (イ) (ウ) (エ)
(1) 給水 再熱器 燃焼用 過熱器
(2) 蒸気 節炭器 加熱用 過熱器
(3) 給水 節炭器 加熱用 過熱器
(4) 蒸気 再熱器 燃焼用 空気予熱器
(5) 給水 節炭器 燃焼用 空気予熱器

回答

(5)

問4:原子力発電

軽水炉で使用されている原子燃料に関する記述として,誤っているのは次のうちどれか。

(1) 中性子を吸収して核分裂を起こすことのできる核分裂性物質には,ウラン235やプルトニウム239がある。

(2) ウラン燃料は,二酸化ウランの粉末を焼き固め,ペレット状にして使用される。

(3) ウラン燃料には,濃縮度90%程度の高濃縮ウランが使用される。

(4) ウラン238は中性子を吸収してプルトニウム239に変わるので,親物質と呼ばれる。天然ウランは約0.7%のウラン235を含み,残りはほとんどウラン238である。

(5) 一般的な軽水炉型原子力発電所の燃料としては,低濃縮ウランが用いられる。

回答

(3)

問5:その他発電

燃料電池に関する記述として,誤っているのは次のうちどれか。

(1) 水の電気分解と逆の化学反応を利用した発電方式である。
(2) 燃料は外部から供給され,直接,交流電力を発生する。
(3) 燃料として,水素,天然ガス,メタノールなどが使用される。
(4) 太陽光発電や風力発電に比べて,発電効率が高い。
(5) 電解質により,リン酸形,溶融炭酸塩形,固体高分子形などに分類される。

回答

(2)

問6:変電

配電用変電所における 6.6[kV] 非接地方式配電線の一般的な保護に関する記述として,誤っているのは次のうちどれか。

(1) 短絡事故の保護のため,各配電線に過電流継電器が設置される。

(2) 地絡事故の保護のため,各配電線に地絡方向継電器が設置される。

(3) 地絡事故の検出のため,6.6[kV]母線には地絡過電圧継電器が設置される。

(4) 配電線の事故時には,配電線引出口遮断器は,事故遮断して一定時間(通常1分)の後に再閉路器により自動再閉路される。

(5) 主変圧器の二次側を遮断させる過電流継電器の動作時限は,各配電線を遮断させる過電流継電器の動作時限より短く設定される。

回答

(5)

問7:送電・変電

ガス絶縁開閉装置(GIS)は,金属容器に遮断器,断路器,母線などを収納し,絶縁耐力及び消弧能力の優れた(ア)を充填したもので,充電部を支持するスペーサなどの絶縁物には,主に(イ)が用いられる。また,気中絶縁の設備に比べてGISには次のような特徴がある。

① コンパクトである。
② 充電部が密閉されており,安全性が高い。
③ 大気中の汚染物等の影響を受けないため,信頼性が(ウ)。
④ 内部事故時の復旧時間が(エ)。

上記の記述中の空白箇所(ア),(イ),(ウ)及び(エ)に記入する語句として,正しいものを組み合わせたのは次のうちどれか。

(ア) (イ) (ウ) (エ)
(1) SF₆ガス 磁器がいし 高い 短い
(2) SF₆ガス エポキシ樹脂 高い 長い
(3) SF₆ガス エポキシ樹脂 低い 短い
(4) 窒素ガス 磁器がいし 低い 長い
(5) 窒素ガス エポキシ樹脂 高い 短い

回答

(2)

問8:送電

直流送電に関する記述として,誤っているのは次のうちどれか。

(1) 交流送電と比べて,送電線路の建設費は安いが,交直変換所の設置が必要となる。

(2) 交流送電のような安定度問題がないので,長距離送電に適している。

(3) 直流の高電圧大電流の遮断は,交流の場合より容易である。

(4) 直流は,変圧器で簡単に昇圧や降圧ができない。

(5) 交直変換器からは高調波が発生するので,フィルタ設備等の対策が必要である。

回答

(3)

問9:同期機

送電線路の鉄塔の上部に十分な強さをもった(ア)を張り,鉄塔を通じて接地したものを架空地線といい,送電線への直撃雷を防止するために設置される。

図において,架空地線と送電線とを結ぶ直線と,架空地線から下ろした鉛直線との間の角度θを(イ)と呼んでいる。この角度が(ウ)ほど直撃雷を防止する効果が大きい。

架空地線や鉄塔に直撃雷があった場合,鉄塔から送電線に(エ)を生じることがある。これを防止するために,鉄塔の接地抵抗を小さくするような対策が講じられている。

上記の記述中の空白箇所(ア),(イ),(ウ)及び(エ)に記入する語句として,正しいものを組み合わせたのは次のうちどれか。

(ア) (イ) (ウ) (エ)
(1) 裸線 遮へい角 小さい 逆フラッシオーバ
(2) 絶縁電線 遮へい角 大きい 進行波
(3) 裸線 進入角 小さい 進行波
(4) 絶縁電線 進入角 大きい 進行波
(5) 裸線 進入角 大きい 逆フラッシオーバ

回答

(1)

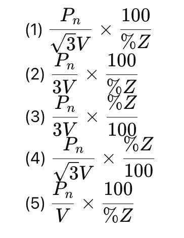
問10:送電

線間電圧 V[V]の三相3線式送電線で,負荷端から電源側をみた百分率インピーダンスを %Z とするとき,負荷端での三相短絡電流[A]を表す式として,正しいのは次のうちどれか。ただし,基準容量は PnP_nPn​[V・A]とする。

回答

(1)

問11:送電

電圧22[kV],周波数50[Hz],こう長1[km]の三相3線式地中電線路がある。ケーブルの心線1線当たりの静電容量が0.44[μF/km]であるとき,この電線路の無負荷充電容量[kvar]の値として,最も近いのは次のうちどれか。
(1) 11
(2) 18
(3) 39
(4) 67
(5)116

回答

(4)

問12:配電

高圧架空配電線路を構成する機器又は材料として,使用されることのないものは,次のうちどれか。

(1)柱上開閉器
(2)避雷器
(3)DV線
(4)中実がいし
(5)支線

回答

(3)

問13:配電

100/200[V]単相3線式配電方式に関する記述として,誤っているのは次のうちどれか。

(1)中性線が断線すると,異常電圧を発生することがある。
(2)負荷の分布によっては,負荷電圧が不平衡になることがある。
(3)配電容量が等しい場合,100[V]単相2線式配電方式より電線の銅量が少なくてすむ。
(4)バランサは,電源の近くに設けるほうが効果が大きい。
(5)単相200[V]負荷の使用が可能である。

回答

(4)

問14:配電

アモルファス鉄心材料を使用した柱上変圧器の特徴に関する記述として,誤っているのは次のうちどれか。
(1)けい素鋼帯を使用した同容量の変圧器に比べて,鉄損が大幅に少ない。
(2)アモルファス鉄心材料は結晶構造である。
(3)アモルファス鉄心材料は高硬度で,加工性があまり良くない。
(4)アモルファス鉄心材料は比較的高価である。
(5)けい素鋼帯を使用した同容量の変圧器に比べて,磁束密度が高くできないので,大形になる。

回答

(2)

問15:火力発電

出力700[MW]で運転している汽力発電所で,発熱量26,000[kJ/kg]の石炭を毎時230[t]使用している。タービン室効率47.0[%],発電機効率99.0[%]であるとき,次の(a)及び(b)に答えよ。

(a) 発電端熱効率[%]の値として,最も近いのは次のうちどれか。

(1) 39.6
(2) 42.1
(3) 44.3
(4) 46.5
(5) 47.5

(b) ボイラ効率[%]の値として,最も近いのは次のうちどれか。

(1) 83.4
(2) 85.1
(3) 88.6
(4) 89.6
(5) 90.6

回答

(2)-(5)

問16:送電・変電

架空電線路の径間,電線の長さ及びたるみに関して,次の(a)及び(b)に答えよ。

(a) 径間を S[m],電線のたるみを D[m] とするとき,電線の長さ L[m] を示す式として,正しいのは次のうちどれか。

(1) S + 8D² / 3S
(2) S + 8D / 3S
(3) S + 3D² / 8S
(4) S + 3D / 8S
(5) S + D² / 3S

回答

(1)-(3)

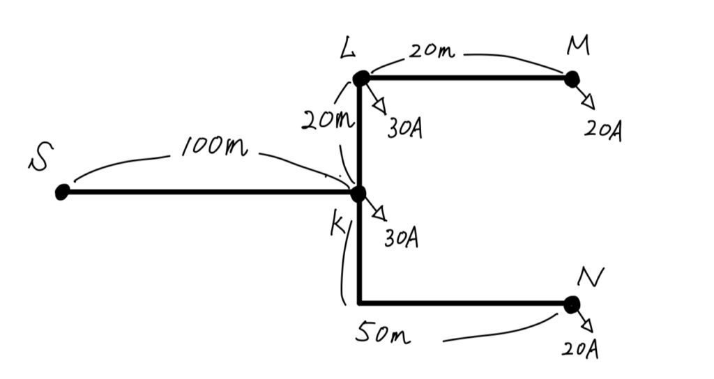
問17:配電

図のような単相2線式配電線路で,K,L,M,N の4地点の負荷に電力を供給している。電線の種類,太さは全区間同一で,電線の抵抗は1[km]当たり0.48[Ω],負荷の力率はいずれも100[%]として,次の(a)及び(b)に答えよ。ただし,線路リアクタンスは無視するものとする。

(a) 電源S点からの電圧降下が最も大きい地点での電圧降下[V]の値として,最も近いのは次のうちどれか。

(1) 2.7
(2) 9.6
(3) 10.5
(4) 10.9
(5) 21.5

(b) L地点の負荷が増加して50[A]になったとき,電圧降下の最も大きい地点での電圧降下が,前の値より大きくならないようにSK間の電線を張り替えることとした。SK間の新しい電線の1[km]当たりの抵抗[Ω]の最大値として,最も近いのは次のうちどれか。

(1) 0.28
(2) 0.34
(3) 0.38
(4) 0.42
(5) 0.46

回答

(4)-(3)

よかったらシェアしてね!
  • URLをコピーしました!
  • URLをコピーしました!

この記事を書いた人

コメント

コメントする

目次